Phát hiện, ghi hình 41 trường hợp phương tiện vi phạm giao thông
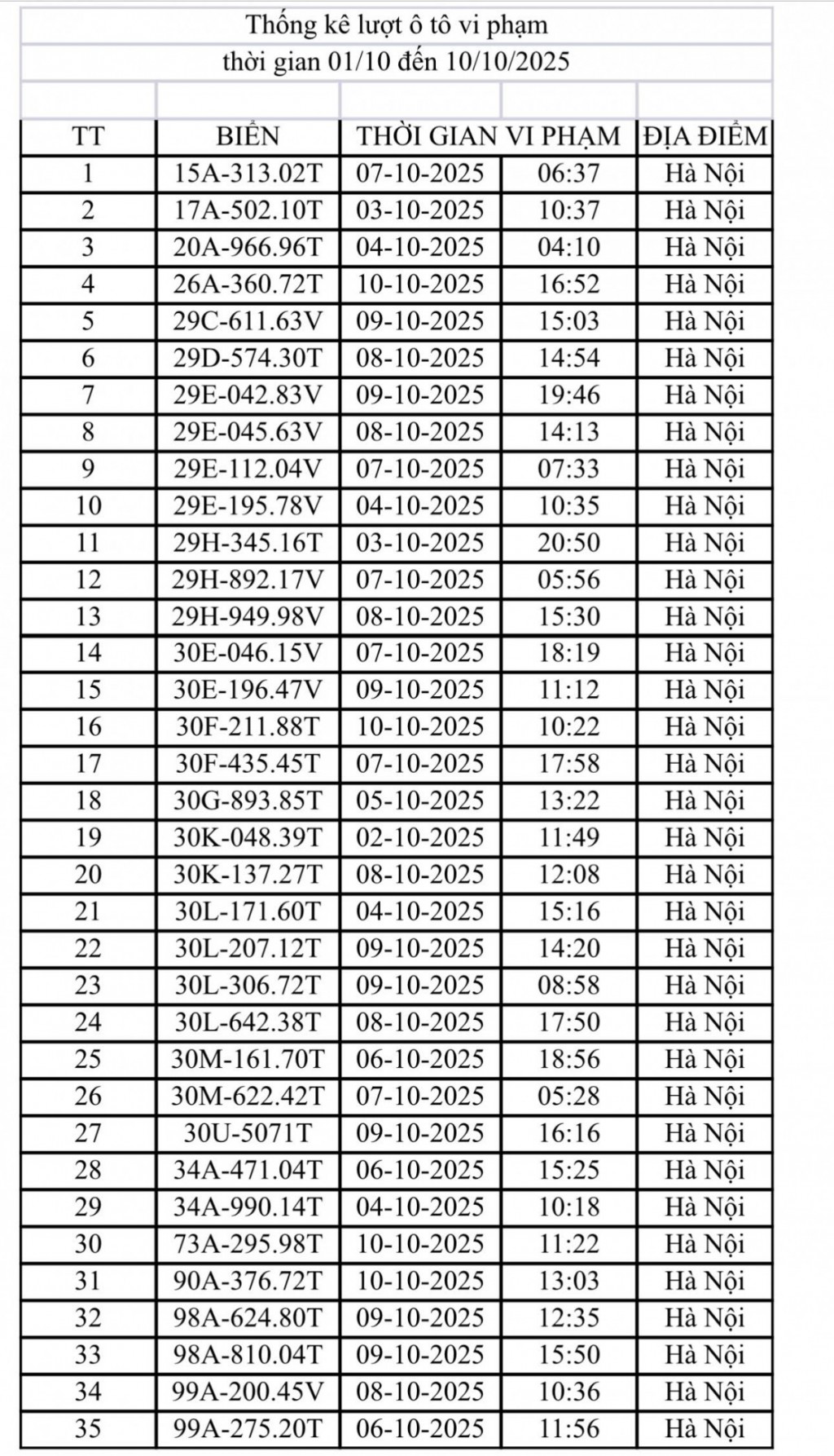
Phòng Cảnh sát giao thông Hà Nội đã công bố thông tin về kết quả xử lý vi phạm giao thông qua hệ thống camera giám sát. Theo đó, trong khoảng thời gian 10 ngày đầu tháng 10/2025, từ ngày 1/10 đến hết ngày 10/10, hệ thống camera giám sát giao thông do đơn vị quản lý, vận hành đã phát hiện và ghi hình tổng cộng 41 trường hợp phương tiện vi phạm. Các trường hợp vi phạm này bao gồm cả ô tô và mô tô.
Việc tăng cường xử lý vi phạm giao thông thông qua hệ thống camera (thường gọi là "phạt nguội") là một trong những giải pháp trọng tâm nhằm nâng cao ý thức chấp hành pháp luật về giao thông, góp phần xây dựng trật tự, an toàn giao thông trên địa bàn Thủ đô.
![]() |
![]() |
Phòng Cảnh sát giao thông Hà Nội khuyến nghị chủ phương tiện, người điều khiển phương tiện bị ghi hình vi phạm chủ động tra cứu thông tin "phạt nguội" để kịp thời giải quyết, tránh bị xử phạt chậm trễ theo quy định.
Người dân có thể tra cứu thông tin chi tiết các trường hợp vi phạm trên trang thông tin điện tử chính thức của Cục Cảnh sát giao thông - Bộ Công an tại địa chỉ: www.csgt.vn.
Bên cạnh đó, để được hướng dẫn, giải quyết vụ việc vi phạm hành chính cụ thể, chủ phương tiện có thể liên hệ trực tiếp với Đội Chỉ huy giao thông và điều khiển đèn tín hiệu giao thông (Phòng Cảnh sát giao thông - Công an thành phố Hà Nội) tại địa chỉ: Số 54 Trần Hưng Đạo, phường Cửa Nam, Hà Nội. Điện thoại liên hệ: 0692.196.440.
Đáng chú ý, đối với người dân đang cư trú trên địa bàn Hà Nội, Phòng Cảnh sát giao thông đã triển khai 14 địa điểm tiếp nhận và giải quyết kết quả thu thập được bằng phương tiện, thiết bị nghiệp vụ "phạt nguội" trên toàn thành phố. Người dân có thể đến một trong các địa điểm này để giải quyết vụ việc vi phạm hành chính một cách thuận tiện nhất.
Tin liên quan
Cùng chuyên mục
Đọc thêm
Giao thông
Bước tiến cần thiết để định hình văn hóa lái xe an toàn
Giao thông
Ban Chỉ đạo Nhà nước các công trình, dự án quan trọng quốc gia, trọng điểm ngành giao thông vận tải họp phiên thứ 22
Giao thông
Quyết tâm hoàn thành bồi thường dự án nâng cấp Quốc lộ 91
Giao thông
Xử lý 129 trường hợp vi phạm nồng độ cồn trong ngày cuối tuần
Giao thông
Bí thư Tỉnh ủy Đắk Lắk kiểm tra tiến độ các dự án trọng điểm
Giao thông
TP Hồ Chí Minh tăng tốc loạt dự án tạo trục giao thông kết nối 2 sân bay
Giao thông
Tàu Cát Linh-Hà Đông chính thức áp dụng hệ thống kiểm soát vé tự động mới
Giao thông
TP Hồ Chí Minh ưu tiên chọn nhà thầu nội địa thực hiện metro số 2
Giao thông
Đà Nẵng chi 10 tỷ đồng khắc phục sạt lở đường ĐT601
Giao thông






